|
| Constructor | public ANOVA() | |
| public ANOVA(String dataTitle) | ||
| Enter the data | Read title, group names and responses from text file Enter responses as rows per group |
public void readResponseData() |
| public void readResponseData(String filename) | ||
| Enter data via program arrays Enter responses as rows per group |
public void enterResponseData(double[][] responses) | |
| public void enterResponseData(float[][] responses) | ||
| public void enterResponseData(long[][] responses) | ||
| public void enterResponseData(int[][] responses) | ||
| public void enterResponseData(Matrix responses) | ||
| public void enterResponseData(BigDecimal[][] responses) | ||
| public void enterResponseData(BigInteger[][] responses) | ||
| public void enterResponseData(String[][] responses) | ||
| public void enterResponseData(char[][] responses) | ||
| public void enterResponseData(boolean[][] responses) | ||
| Enter data title | public void enterTitle(String title) | |
| Enter group names | public void enterGroupNames(String[] groupNames) | |
| Dichotomous data pairs | public void addDichotomousPair(String falseSign, String trueSign) | |
| public void addDichotomousPair(char falseSign, char trueSign) | ||
| public void setDichotomousPairValues(double firstValue, double secondValue) | ||
| public double[] getDichotomousPairValues() | ||
| Critical significance level | public void setCriticalSignificance(double critProb) | |
|
public double getCriticalSignificance() | ||
| Perform ANOVA | With file output | public void oneWayAnalysis(String filename) |
| public void oneWayAnalysisWithPairComparison(String filename) | ||
| public void oneWayAnalysisWithPairComparison(int group1, int group2, String filename) | ||
| public void oneWayAnalysis() | ||
| public void oneWayAnalysisWithPairComparison() | ||
| public void oneWayAnalysisWithPairComparison(int group1, int group2) | ||
| Without file output | public void oneWayANOVA() | |
| public void oneWayANOVAwithPairComparison() | ||
| public void oneWayANOVAwithPairComparison(int group1, int group2) | ||
| Print Analysis | Print to a file | public void outputAnalysis(String filename) |
| public void outputAnalysis() | ||
| Output file precision |
public void numberOfDecimalPlaces(int trunc) | |
| public void numberOfDecimalPlacesAll(int trunc) | ||
| F-ratio for between and within groups | F-ratio | public double oneWayFratio() |
| public double oneWayFratio(int group1, int group2) | ||
| public BigDecimal oneWayFratio_as_BD() | ||
| public BigDecimal oneWayFratio_as_BD(int group1, int group2) | ||
| Significance | public double oneWaySignificance() | |
| public double oneWaySignificance(int group1, int group2) | ||
| F-ratio at critical level | public double criticalFratio() | |
| public double criticalFratio(int group1, int group2) | ||
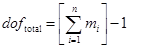
| Degrees of Freedom | Total degrees of freedom | public int totalDoF() |
| public int totalDoF(int group1, int group2) | ||
| Degrees of freedom between groups | public int betweenGroupsDoF() | |
| public int betweenGroupsDoF(int group1, int group2) | ||
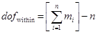
| Degrees of freedom within groups | public int withinGroupsDoF() | |
| public int withinGroupsDoF(int group1, int group2) | ||
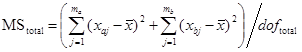
| Mean Squares | Total mean square | public double totalMeanSquare() |
| public BigDecimal totalMeanSquare_as_BD() | ||
| public double totalMeanSquare(int group1, int group2) | ||
| public BigDecimal totalMeanSquare_as_BD(int group1, int group2) | ||
| Mean square between groups | public double betweenGroupsMeanSquare() | |
| public BigDecimal betweenGroupsMeanSquare_as_BD() | ||
| public double betweenGroupsMeanSquare(int group1, int group2) | ||
| public BigDecimal betweenGroupsMeanSquare_as_BD(int group1, int group2) | ||
| Mean square within groups | public double withinGroupsMeanSquare() | |
| public BigDecimal withinGroupsMeanSquare_as_BD() | ||
| public double withinGroupsMeanSquare(int group1, int group2) | ||
| public BigDecimal withinGroupsMeanSquare_as_BD(int group1, int group2) | ||
| Sum of Squares | Total sum of squares | public double totalSumOfSquares() |
| public BigDecimal totalSumOfSquares_as_BD() | ||
| public double totalSumOfSquares(int group1, int group2) | ||
| public BigDecimal totalSumOfSquares_as_BD(int group1, int group2) | ||
| Sum of squares between groups | public double betweenGroupsSumOfSquares() | |
| public BigDecimal betweenGroupsSumOfSquares_as_BD() | ||
| public double betweenGroupsSumOfSquares(int group1, int group2) | ||
| public BigDecimal betweenGroupsSumOfSquares_as_BD(int group1, int group2) | ||
| Sum of squares within groups | public double withinGroupsSumOfSquares() | |
| public BigDecimal withinGroupsSumOfSquares_as_BD() | ||
| public double withinGroupsSumOfSquares(int group1, int group2) | ||
| public BigDecimal withinGroupsSumOfSquares_as_BD(int group1, int group2) | ||
| Groups | Enter group names | public void enterGroupNames(String[] groupNames) |
| Get group names | public String[] getGroupNames() | |
| Get group name for a given index | public String[] getGroupName(int i) | |
| Get number of groups | public int getNumberOfGroups() | |
| Get number of responses per group | public int[] numberOfResponsesPerGroup() | |
| Get group means | public double[] groupMeans() | |
| public BigDecimal[] groupMeans_as_BD() | ||
| Get group standard deviations | public double[] groupStandardDeviations() | |
| Get group standard errors | public double[] groupStandardErrors() | |
| Get group mean lower confidence limits | public double[] groupMeanLowerConfidenceLimits() | |
| Get group mean upper confidence limits | public double[] groupMeanUpperConfidenceLimits() | |
| Get group minima | public double[] groupMinima() | |
| public BigDecimal[] groupMinima_as_BD() | ||
| Get group maxima | public double[] groupMaxima() | |
| public BigDecimal[] groupMaxima_as_BD() | ||
| Get group medians | public double[] groupMedians() | |
| public BigDecimal[] groupMedians_as_BD() | ||
| Get group moment skewnesses | public double[] groupMomentSkewnesses() | |
| Get group median skewnesses | public double[] groupMedianSkewnesses() | |
| Get group quartile skewnesses | public double[] groupQuartileSkewnesses() | |
| public BigDecimal[] groupQuartileSkewnesses_as_BD() | ||
| Get group kurtoses | public double[] groupKurtoses() | |
| public BigDecimal[] groupKurtoses_as_BD() | ||
| Get group excess kurtoses | public double[] groupExcessKurtoses() | |
| public BigDecimal[] groupExcessKurtoses_as_BD() | ||
| Total Responses | Get total mean | public double totalMean() |
| public BigDecimal totalMean_as_BD() | ||
| Get total standard deviation | public double totalStandardDeviation() | |
| Get total standard error | public double totalStandardError() | |
| Get total mean lower confidence limit | public double totalMeanLowerConfidenceLimit() | |
| Get total mean upper confidence limits | public double totalMeanUpperConfidenceLimit() | |
| Get total minimum | public double totalMinimum() | |
| public BigDecimal totalMinimum_as_BD() | ||
| Get total maximum | public double totalMaximum() | |
| public BigDecimal totalMaximum_as_BD() | ||
| Get total median | public double totalMedian() | |
| public BigDecimal totalMedian_as_BD() | ||
| Get total moment skewness | public double totalMomentSkewness() | |
| Get total median skewness | public double totalMedianSkewness() | |
| Get total quartile skewness | public double totalQuartileSkewness() | |
| public BigDecimal totalQuartileSkewness_as_BD() | ||
| Get total kurtosis | public double totalKurtosis() | |
| public BigDecimal totalKurtosis_as_BD() | ||
| Get total excess kurtosis | public double totalExcessKurtosis() | |
| public BigDecimal totalExcessKurtosis_as_BD() | ||
| Gaussian Probabilty Plots | Groups | public double[] groupGPPcorrelationCoefficient() |
| public double[] groupGPPgradient() | ||
| public double[] groupGPPintercept() | ||
| public double[] groupGPPmu() | ||
| public double[] groupGPPsigma() | Total responses | public double totalGPPcorrelationCoefficient() |
| public double totalGPPgradient() | ||
| public double totalGPPintercept() | ||
| public double totalGPPmu() | ||
| public double totalGPPsigma() | ||
| Get Responses | Get responses as entered | public Object getResponsesAsEntered() |
| Get responses as double | public double[][] getResponses() | |
| public double[][] getResponsesAsdouble() | ||
| Get responses as BigDecimal | public BigDecimal[][] getResponsesAsBigDecimal() | |


































