|
| Constructors | public Normality() | ||
| public Normality(double[] data) | |||
| public Normality(float[] data) | |||
| public Normality(long[] data) | |||
| public Normality(int[] data) | |||
| public Normality(BigDecimal[] data) | |||
| public Normality(BigInteger[] data) | |||
| Read data in from a text file | public void readDataFromTextFile() | ||
| Significance | Reset the significance level | public void resetSignificance(double significance) | |
| Get the significance level | public double getSignificance() | ||
| Full analysis | public void fullAnalysis() | ||
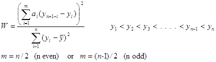
| Shapiro-Wilk W Test |
Returns Shapiro-Wilk W value | public double shapiroWilkWvalue() | |
| Returns Shapiro-Wilk critical W value | Default significance level | public double shapiroWilkCriticalW() | |
| Entered significance level | public double shapiroWilkCriticalW(double significance) | Entered significance level and number of observations | public double shapiroWilkCriticalW(double significance, int nObservations) |
| Reset number of iterations | public void resetNsimulation(int n) | ||
| Get number of iterations | public int getNsimulation() | ||
| Returns Shapiro-Wilk p-value | public double shapiroWilkPvalue() | ||
| Returns the Shapiro-Wilk coefficients | For entered data | public double[] shapiroWilkCoeff() | |
| For n observations | public double[] shapiroWilkCoeff(int n) | ||
| Normal Probability Plot (Gaussian Probability Plot) See below for the Standard Normal Probability Plot |
Calculate and display plot | public void normalProbabiltyPlot() | |
| User supplied initial estimates | public void normalUserSuppliedInitialEstimates(double mu, double sigma) | ||
| Remove user supplied initial estimates | public void removeNormalUserSuppliedInitialEstimates() | ||
| Correlation coefficient | public double normalCorrelationCoefficient() | ||
| Gradient | value | public double normalGradient() | |
| error | public double normalGradientError() | ||
| Intercept | value | public double normalIntercept() | |
| error | public double normalInterceptError() | ||
| μ | value | public double normalMu() | |
| error | public double normalMuError() | ||
| σ | value | public double normalSigma() | |
| error | public double normalSigmaError() | ||
| Sum of squares | public double normalSumOfSquares() | ||
| Order Statistic Medians | public double[] normalOrderStatisticMedians() | ||
| Standard Normal Probability Plot (Gaussian Probability Plot) See above for the Two Parameter Normal Probability Plot |
Calculate and display plot | public void normalStandardProbabiltyPlot() | |
| Correlation coefficient | public double normalStandardCorrelationCoefficient() | ||
| Gradient | value | public double normalStandardGradient() | |
| error | public double normalStandardGradientError() | ||
| Intercept | value | public double normalStandardIntercept() | |
| error | public double normalStandardInterceptError() | ||
| Sum of squares | public double normalStandardSumOfSquares() | ||
| Order Statistic Medians | public double[] normalStandardOrderStatisticMedians() | ||
| Data | Get entered data as doubles | public double[] getData() | |
| Ordered data | public double[] getOrderedData() | ||

