|
|
|
|

| import statement/s: |
|
For all regressions import flanagan.analysis.Regression; In addition for relevant non-linear regressions import flanagan.analysis.RegressionFunction; import flanagan.analysis.RegressionFunction2; import flanagan.analysis.RegressionFunction3; |
| Constructors | public Regression(double[ ][ ] xdata, double[ ] ydata, double[ ] yErrors) | public Regression(double[ ][ ] xdata, double[ ] ydata, double[ ][] xerrors, double[ ] yerrors) | public Regression(double[ ][ ] xdata, double[ ][] ydata, double[ ][ ] yerrors) | public Regression(double[ ][ ] xdata, double[ ][] ydata, double[ ][ ] xerrors, double[ ][ ] yerrors) |
| public Regression(double[ ] xdata, double[ ] ydata, double[ ] yErrors) | ||
| public Regression(double[ ] xdata, double[ ] ydata, double[ ] xerrors, double[ ] yerrors) | ||
| public Regression(double[ ] xdata, double[ ][] ydata, double[ ][ ] yerrors) | ||
| public Regression(double[ ] xdata, double[ ][] ydata, double[ ] xerrors, double[ ][ ] yerrors) | ||
| public Regression(double[ ][ ] xdata, double[ ] ydata) | ||
| public Regression(double[ ][ ] xdata, double[ ][] ydata) | ||
| public Regression(double[ ] xdata, double[ ] ydata) | ||
| public Regression(double[ ] xdata, double[ ][] ydata) | ||
| public Regression(double[ ] xdata, double binWidth, double binZero) | ||
| public Regression(double[ ] xdata, double binWidth) | ||
|
Linear Regression |
Fitting to a constant yi = a0 | public void constant() |
|
public void constantPlot() public void constantPlot(String xLegend, String yLegend) | ||
|
Linear with intercept yi = a0+a1.x0,i+a2.x1,i+... |
public void linear() public void linear(double fixedIntercept) | |
|
public void linearPlot() public void linearPlot(double fixedIntercept) public void linearPlot(String xLegend, String yLegend) public void linearPlot(double fixedIntercept, String xLegend, String yLegend) | ||
|
General linear yi = a0.f1(x0,x1..)+a1.f2(x0,x1+...) | public void linearGeneral() | |
|
public void linearGeneralPlot() public void linearGeneralPlot(String xLegend, String yLegend) | ||
|
Polynomial yi = a0+a1.x+a2.x2+a3x3 ... |
public void polynomial(int n) public void polynomial(int n, double fixedIntercept) | |
|
public void polynomialPlot(int n) public void polynomialPlot(int n, double fixedIntercept) public void polynomialPlot(int n, String xLegend, String yLegend) public void polynomialPlot(int n, double fixedIntercept, String xLegend, String yLegend) | ||
|
public ArrayList<Object> bestPolynomial() public ArrayList<Object> bestPolynomial(double fixedIntercept) | ||
|
public ArrayList<Object> bestPolynomialPlot() public ArrayList<Object> bestPolynomialPlot(double fixedIntercept) public ArrayList<Object> bestPolynomialPlot(String xLegend, String yLegend) public ArrayList<Object> bestPolynomialPlot(double fixedIntercept, String xLegend, String yLegend) | ||
|
public void setFtestSignificance(double signif) public double getFtestSignificance() | ||
|
public void nonIntegerPolynomial(int nTerms) [non-linear regression] | ||
|
public void nonIntegerPolynomialPlot(int nTerms) [non-linear regression] public void nonIntegerPolynomialPlot(int nTerms, String xLegend, String yLegend) | ||
| Return the best estimates | public double[] getBestEstimates() | |
| Return the errors of the best estimates | public double[] getBestEstimatesErrors() | |
| See Common methods for list of methods associated with performing a linear regression, e.g. returning a statistical analysis of a linear regression, plotting the best fit curve. | ||
|
Non-linear Regression WARNING |
Nelder and Mead Simplex One set of dependent variables y = f(a0,a1,a2..., x0,x1,x2...) Several sets of the dependent variable y0 = f1(a0,a1,a2..., x0,x1,x2...) y1 = f2(a0,a1,a2..., x0,x1,x2...) . . . yn = fn(a0,a1,a2..., x0,x1,x2...) |
public void simplex(RegressionFunction rf, double[ ] start, double[ ] step, double ftol, int nmax) public void simplex(RegressionFunction rf, RegressionDerivativeFunction rdf, double[ ] start, double[ ] step, double ftol, int nmax) public void simplex(RegressionFunction2 rf, double[ ] start, double[ ] step, double ftol, int nmax) public void simplex(RegressionFunction2 rf, RegressionDerivativeFunction2 rdf, double[ ] start, double[ ] step, double ftol, int nmax) public void simplex(RegressionFunction3 rf, double[ ] start, double[ ] step, double ftol, int nmax) public void simplex(RegressionFunction3 rf, RegressionDerivativeFunction rdf, double[ ] start, double[ ] step, double ftol, int nmax) public void simplex(RegressionFunction3 rf, RegressionDerivativeFunction2 rdf, double[ ] start, double[ ] step, double ftol, int nmax) |
|
public void simplexPlot(RegressionFunction rf, double[ ] start, double[ ] step, double ftol, int nmax) public void simplexPlot(RegressionFunction rf, RegressionDerivativeFunction rdf, double[ ] start, double[ ] step, double ftol, int nmax) public void simplexPlot(RegressionFunction2 rf, double[ ] start, double[ ] step, double ftol, int nmax) public void simplexPlot(RegressionFunction2 rf, RegressionDerivativeFunction2 rdf, double[ ] start, double[ ] step, double ftol, int nmax) public void simplexPlot(RegressionFunction3 rf, double[ ] start, double[ ] step, double ftol, int nmax) public void simplexPlot(RegressionFunction3 rf, RegressionDerivativeFunction rdf, double[ ] start, double[ ] step, double ftol, int nmax) public void simplexPlot(RegressionFunction3 rf, RegressionDerivativeFunction2 rdf, double[ ] start, double[ ] step, double ftol, int nmax) | ||
|
public void simplex(RegressionFunction rf, double[ ] start, double[ ] step, double ftol) public void simplex(RegressionFunction rf, RegressionDerivativeFunction rdf, double[ ] start, double[ ] step, double ftol) public void simplex(RegressionFunction2 rf, double[ ] start, double[ ] step, double ftol) public void simplex(RegressionFunction2 rf, RegressionDerivativeFunction2 rdf, double[ ] start, double[ ] step, double ftol) public void simplex(RegressionFunction3 rf, double[ ] start, double[ ] step, double ftol) public void simplex(RegressionFunction3 rf, RegressionDerivativeFunction rdf, double[ ] start, double[ ] step, double ftol) public void simplex(RegressionFunction3 rf, RegressionDerivativeFunction2 rdf, double[ ] start, double[ ] step, double ftol) | ||
|
public void simplexPlot(RegressionFunction rf, double[ ] start, double[ ] step, double ftol) public void simplexPlot(RegressionFunction rf, RegressionDerivativeFunction rdf, double[ ] start, double[ ] step, double ftol) public void simplexPlot(RegressionFunction2 rf, double[ ] start, double[ ] step, double ftol) public void simplexPlot(RegressionFunction2 rf, RegressionDerivativeFunction2 rdf, double[ ] start, double[ ] step, double ftol) public void simplexPlot(RegressionFunction3 rf, double[ ] start, double[ ] step, double ftol) public void simplexPlot(RegressionFunction3 rf, RegressionDerivativeFunction rdf, double[ ] start, double[ ] step, double ftol) public void simplexPlot(RegressionFunction3 rf, RegressionDerivativeFunction2 rdf, double[ ] start, double[ ] step, double ftol) | ||
|
public void simplex(RegressionFunction rf, double[ ] start, double[ ] step, int nmax) public void simplex(RegressionFunction rf, RegressionDerivativeFunction rdf, double[ ] start, double[ ] step, int nmax) public void simplex(RegressionFunction2 rf, double[ ] start, double[ ] step, int nmax) public void simplex(RegressionFunction2 rf, RegressionDerivativeFunction2 rdf, double[ ] start, double[ ] step, int nmax) public void simplex(RegressionFunction3 rf, double[ ] start, double[ ] step, int nmax) public void simplex(RegressionFunction3 rf, RegressionDerivativeFunction rdf, double[ ] start, double[ ] step, int nmax) public void simplex(RegressionFunction3 rf, RegressionDerivativeFunction2 rdf, double[ ] start, double[ ] step, int nmax) | ||
|
public void simplexPlot(RegressionFunction rf, double[ ] start, double[ ] step, int nmax) public void simplexPlot(RegressionFunction rf, RegressionDerivativeFunction rdf, double[ ] start, double[ ] step, int nmax) public void simplexPlot(RegressionFunction2 rf, double[ ] start, double[ ] step, int nmax) public void simplexPlot(RegressionFunction2 rf, RegressionDerivativeFunction2 rdf, double[ ] start, double[ ] step, int nmax) public void simplexPlot(RegressionFunction3 rf, double[ ] start, double[ ] step, int nmax) public void simplexPlot(RegressionFunction3 rf, RegressionDerivativeFunction rdf, double[ ] start, double[ ] step, int nmax) public void simplexPlot(RegressionFunction3 rf, RegressionDerivativeFunction2 rdf, double[ ] start, double[ ] step, int nmax) | ||
|
public void simplex(RegressionFunction rf, double[ ] start, double ftol, int nmax) public void simplex(RegressionFunction rf, RegressionDerivativeFunction rdf, double[ ] start, double ftol, int nmax) public void simplex(RegressionFunction2 rf, double[ ] start, double ftol, int nmax) public void simplex(RegressionFunction2 rf, RegressionDerivativeFunction2 rdf, double[ ] start, double ftol, int nmax) public void simplex(RegressionFunction3 rf, double[ ] start, double ftol, int nmax) public void simplex(RegressionFunction3 rf, RegressionDerivativeFunction rdf, double[ ] start, double ftol, int nmax) public void simplex(RegressionFunction3 rf, RegressionDerivativeFunction2 rdf, double[ ] start, double ftol, int nmax) | ||
|
public void simplexPlot(RegressionFunction rf, double[ ] start, double ftol, int nmax) public void simplexPlot(RegressionFunction rf, RegressionDerivativeFunction rdf, double[ ] start, double ftol, int nmax) public void simplexPlot(RegressionFunction2 rf, double[ ] start, double ftol, int nmax) public void simplexPlot(RegressionFunction2 rf, RegressionDerivativeFunction2 rdf, double[ ] start, double ftol, int nmax) public void simplexPlot(RegressionFunction3 rf, double[ ] start, double ftol, int nmax) public void simplexPlot(RegressionFunction3 rf, RegressionDerivativeFunction rdf, double[ ] start, double ftol, int nmax) public void simplexPlot(RegressionFunction3 rf, RegressionDerivativeFunction2 rdf, double[ ] start, double ftol, int nmax) | ||
|
public void simplex(RegressionFunction rf, double[ ] start, double[ ] step) public void simplex(RegressionFunction rf, RegressionDerivativeFunction rdf, double[ ] start, double[ ] step) public void simplex(RegressionFunction2 rf, double[ ] start, double[ ] step) public void simplex(RegressionFunction2 rf, RegressionDerivativeFunction2 rdf, double[ ] start, double[ ] step) public void simplex(RegressionFunction3 rf, double[ ] start, double[ ] step) public void simplex(RegressionFunction3 rf, RegressionDerivativeFunction rdf, double[ ] start, double[ ] step) public void simplex(RegressionFunction3 rf, RegressionDerivativeFunction2 rdf, double[ ] start, double[ ] step) | ||
|
public void simplexPlot(RegressionFunction rf, double[ ] start, double[ ] step) public void simplexPlot(RegressionFunction rf, RegressionDerivativeFunction rdf, double[ ] start, double[ ] step) public void simplexPlot(RegressionFunction2 rf, double[ ] start, double[ ] step) public void simplexPlot(RegressionFunction2 rf, RegressionDerivativeFunction2 rdf, double[ ] start, double[ ] step) public void simplexPlot(RegressionFunction3 rf, double[ ] start, double[ ] step) public void simplexPlot(RegressionFunction3 rf, RegressionDerivativeFunction rdf, double[ ] start, double[ ] step) public void simplexPlot(RegressionFunction3 rf, RegressionDerivativeFunction2 rdf, double[ ] start, double[ ] step) | ||
|
public void simplex(RegressionFunction rf, double[ ] start, double ftol) public void simplex(RegressionFunction rf, RegressionDerivativeFunction rdf, double[ ] start, double ftol) public void simplex(RegressionFunction2 rf, double[ ] start, double ftol) public void simplex(RegressionFunction2 rf, RegressionDerivativeFunction2 rdf, double[ ] start, double ftol) public void simplex(RegressionFunction3 rf, double[ ] start, double ftol) public void simplex(RegressionFunction3 rf, RegressionDerivativeFunction rdf, double[ ] start, double ftol) public void simplex(RegressionFunction3 rf, RegressionDerivativeFunction2 rdf, double[ ] start, double ftol) | ||
|
public void simplexPlot(RegressionFunction rf, double[ ] start, double ftol) public void simplexPlot(RegressionFunction rf, RegressionDerivativeFunction rdf, double[ ] start, double ftol) public void simplexPlot(RegressionFunction2 rf, double[ ] start, double ftol) public void simplexPlot(RegressionFunction2 rf, RegressionDerivativeFunction2 rdf, double[ ] start, double ftol) public void simplexPlot(RegressionFunction3 rf, double[ ] start, double ftol) public void simplexPlot(RegressionFunction3 rf, RegressionDerivativeFunction rdf, double[ ] start, double ftol) public void simplexPlot(RegressionFunction3 rf, RegressionDerivativeFunction2 rdf, double[ ] start, double ftol) | ||
|
public void simplex(RegressionFunction rf, double[ ] start, int nmax) public void simplex(RegressionFunction rf, RegressionDerivativeFunction rdf, double[ ] start, int nmax) public void simplex(RegressionFunction2 rf, double[ ] start, int nmax) public void simplex(RegressionFunction2 rf, RegressionDerivativeFunction2 rdf, double[ ] start, int nmax) public void simplex(RegressionFunction3 rf, double[ ] start, int nmax) public void simplex(RegressionFunction3 rf, RegressionDerivativeFunction rdf, double[ ] start, int nmax) public void simplex(RegressionFunction3 rf, RegressionDerivativeFunction2 rdf, double[ ] start, int nmax) | ||
|
public void simplexPlot(RegressionFunction rf, double[ ] start, int nmax) public void simplexPlot(RegressionFunction rf, RegressionDerivativeFunction rdf, double[ ] start, int nmax) public void simplexPlot(RegressionFunction2 rf, double[ ] start, int nmax) public void simplexPlot(RegressionFunction2 rf, RegressionDerivativeFunction2 rdf, double[ ] start, int nmax) public void simplexPlot(RegressionFunction3 rf, double[ ] start, int nmax) public void simplexPlot(RegressionFunction3 rf, RegressionDerivativeFunction rdf, double[ ] start, int nmax) public void simplexPlot(RegressionFunction3 rf, RegressionDerivativeFunction2 rdf, double[ ] start, int nmax) | ||
|
public void simplex(RegressionFunction rf, double[ ] start) public void simplex(RegressionFunction rf, RegressionDerivativeFunction rdf, double[ ] start) public void simplex(RegressionFunction2 rf, double[ ] start) public void simplex(RegressionFunction2 rf, RegressionDerivativeFunction2 rdf, double[ ] start) public void simplex(RegressionFunction3 rf, double[ ] start) public void simplex(RegressionFunction3 rf, RegressionDerivativeFunction rdf, double[ ] start) public void simplex(RegressionFunction3 rf, RegressionDerivativeFunction2 rdf, double[ ] start) | ||
|
public void simplexPlot(RegressionFunction rf, double[ ] start) public void simplexPlot(RegressionFunction rf, RegressionDerivativeFunction rdf, double[ ] start) public void simplexPlot(RegressionFunction2 rf, double[ ] start) public void simplexPlot(RegressionFunction2 rf, RegressionDerivativeFunction2 rdf, double[ ] start) public void simplexPlot(RegressionFunction3 rf, double[ ] start) public void simplexPlot(RegressionFunction3 rf, RegressionDerivativeFunction rdf, double[ ] start) public void simplexPlot(RegressionFunction3 rf, RegressionDerivativeFunction2 rdf, double[ ] start) | ||
| Deprecated simplex methods | simplex2 and simplexPlot2 | |
| Constrained non-linear regression | public void addConstraint(int pIndex, int direction, double boundary) | |
| public void addConstraint(int pIndices, double plusOrMinus, int direction, double boundary) | ||
| public void addConstraint(int pIndices, int plusOrMinus, int direction, double boundary) | ||
| public void removeConstraints() | ||
| public void setPenaltyWeight(double pWeight) | ||
| public double getPenaltyWeight() | ||
| public void setConstraintTolerance(double tolerance) | ||
| Scaling the initial estimates | public void setScale(int opt) | |
| public void setScale(double[] opt) | ||
| public double[ ] getScale() | ||
| Returning the best estimates | public double[] getBestEstimates() | |
| Returning the errors of the best estimates | public double[] getBestEstimatesErrors() | |
| Returning the initial estimates | public double[ ] getInitialEstimates() | |
| public void[ ] getScaledInitialEstimates() | ||
| Returning the initial step sizes | public double[ ] getInitialSteps() | |
| public void[ ] getScaledInitialSteps() | ||
| Convergence tests | public void setMinTest(int opt) | |
| public int getMinTest() | ||
| public void setTolerance(double tol) | ||
| public int getTolerance() | ||
| public double getSimplexSd() | ||
| Restarts | public void setNrestartsMax(int nrm) | |
| public int getNrestartsMax() | ||
| public int getNrestarts() | ||
| Number of iterations | public void setNmax(int nMax) | |
| public int getNmax() | ||
| public void setNmin(int nMin) | ||
| public int getNmin() | ||
| public int getNiter() | ||
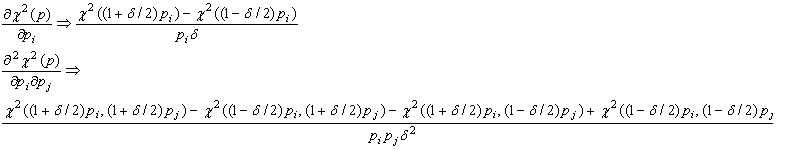
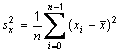
| Pseudo-linear statistics | public void setDelta(double delta) | |
| public int getDelta() | ||
| public boolean getInversionCheck() | ||
| public boolean getPosVarCheck() | ||
| Gradients about the minimum | public double[][] getGrad() | |
| Nelder and Mead Simplex Coefficients | public void setNMreflect(double reflectC) | |
| public double getNMreflect() | ||
| public void setNMextend(double extendC) | ||
| public double getNMextend() | ||
| public void setNMcontract(double contractC) | ||
| public double getNMcontract() | ||
| See Common methods for list of methods associated with performing a non-linear regression, e.g. returning a statistical analysis of a non-linear regression, plotting the best fit curve. | ||
| Fitting data to special Functions | Scaling of the ordinate values |
public void setYscaleFactor(double scaleFactor) |
|
public void setYscaleOption(boolean test) | ||
|
public boolean getYscaleOption() |
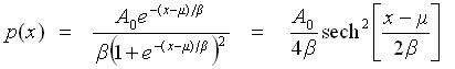
Fit to a Gaussian distribution (parameter fixing option available) or to Gaussian distributions [normal distribution] | public void gaussian() |
| public void gaussian(double[] parameterValues, boolean[] fixedOptions) | ||
| public void gaussianPlot() | ||
| public void gaussianPlot(double[] parameterValues, boolean[] fixedOptions) | ||
| public void multipleGaussiansPlot(int nGaussians, double[] guessesOfMeans, double[] guessesOfStandardDeviations, double[] guessesOfFractionalContributions) | ||
| public static void fitOneOrSeveralDistributions(double[] array) | ||
| See also the ProbabiltyPlot class methods under Gaussian Probabilty Plot |
Fit to a Log-normal distribution
(two parameter statistic) |
public void logNormal() public void logNormalTwoPar() |
|
public void logNormalPlot() public void logNormalTwoParPlot() | ||
| public static void fitOneOrSeveralDistributions(double[] array) |
Fit to a Log-normal distribution
(three parameter statistic) | public void logNormalThreePar() |
| public void logNormalThreeParPlot() | ||
| public static void fitOneOrSeveralDistributions(double[] array) | Fit to a Logistic distribution | public void logistic() |
| public void logisticPlot() | ||
| public static void fitOneOrSeveralDistributions(double[] array) | ||
| See also the ProbabiltyPlot class methods under Logistic Probabilty Plot | Fit to a Beta distribution | public void beta() |
| public void betaPlot() | ||
| public void betaMinMax() | ||
| public void betaMinMaxPlot() | ||
| public static void fitOneOrSeveralDistributions(double[] array) | Fit to a Gamma distribution | public void gamma() |
| public void gammPlot() | ||
| public void gammaStandard() | ||
| public void gammaStandardPlot() | ||
| public static void fitOneOrSeveralDistributions(double[] array) | Fit to an Erlang distribution | public void erlang() |
| public void erlangPlot() | ||
| public static void fitOneOrSeveralDistributions(double[] array) | Fit to a Poisson distribution | public void poisson() |
| public void poissonPlot() | Fit to a Lorentzian distribution | public void lorentz() |
| public void lorentzPlot() | ||
| public static void fitOneOrSeveralDistributions(double[] array) |
Fit to a Type 1 Extreme Value Distribution (minimum order statistic) Gumbel Distribution (minimum order statistic) | public void gumbelMin() |
| public void gumbelMinPlot() | ||
| public void gumbelMinOnePar() | ||
| public void gumbelMinOneParPlot() | ||
| public void gumbelMinStandard() | ||
| public void gumbelMinStandardPlot() | ||
| public static void fitOneOrSeveralDistributions(double[] array) | ||
| See also the ProbabiltyPlot class methods under Gumbel (minimum order statistic) Probabilty Plot |
Fit to a Type 1 Extreme Value Distribution (maximum order statistic) Gumbel Distribution (maximum order statistic) | public void gumbelMax() |
| public void gumbelMaxPlot() | ||
| public void gumbelMaxOnePar() | ||
| public void gumbelMaxOneParPlot() | ||
| public void gumbelMaxStandard() | ||
| public void gumbelMaxStandardPlot() | ||
| public static void fitOneOrSeveralDistributions(double[] array) | ||
| See also the ProbabiltyPlot class methods under Gumbel (maxiimum order statistic) Probabilty Plot |
Fit to a Type 2 Extreme Value Distribution Fréchet distribution | public void frechet() |
| public void frechetPlot() | public void frechetTwoPar() | |
| public void frechetTwoParPlot() | public void frechetStandard() | |
| public void frechetStandardPlot() | ||
| public static void fitOneOrSeveralDistributions(double[] array) | ||
| See also the ProbabiltyPlot class methods under Fréchet Probabilty Plot |
Fit to a Type 3 Extreme Value Distribution Weibull distribution | public void weibull() |
| public void weibullPlot() | public void weibullTwoPar() | |
| public void weibullTwoParPlot() | public void weibullStandard() | |
| public void weibullStandardPlot() | ||
| public static void fitOneOrSeveralDistributions(double[] array) | ||
| See also the ProbabiltyPlot class methods under Weibull Probabilty Plot |
Fit to a Type 3 Extreme Value Distribution (see also fitting simple exponentials) Exponential Distribution | public void exponential() |
| public void exponentialPlot() | public void exponentialOnePar() | |
| public void exponentialOneParPlot() | public void exponentialStandard() | |
| public void exponentialStandardPlot() | ||
| public static void fitOneOrSeveralDistributions(double[] array) | ||
| See also the ProbabiltyPlot class methods under Exponential Probabilty Plot |
Fit to a Type 3 Extreme Value Distribution Rayleigh Distribution | public void rayleigh() |
| public void rayleighPlot() | ||
| public static void fitOneOrSeveralDistributions(double[] array) | ||
| See also the ProbabiltyPlot class methods under Rayleigh Probabilty Plot | Pareto Distribution | public void paretoShifted() |
| public void paretoShiftedPlot() | ||
| public void paretoTwoPar() | ||
| public void paretoTwoParPlot() | ||
| public void paretoOnePar() | ||
| public void paretoOneParPlot() | ||
| public static void fitOneOrSeveralDistributions(double[] array) | ||
| See also the ProbabiltyPlot class methods under Pareto Probabilty Plot | Fit to one or several of the above distributions | public static void fitOneOrSeveralDistributions(double[] array) |
Fitting Simple Exponentials (See also fit to an Exponential Distribution) yi = a.exp(b.xi) yi = Σaj.exp(bj.xi) yi = a.(1 - exp(b.xi)) | public void exponentialSimple() |
| public void exponentialSimplePlot() | ||
| public void exponentialMultiple(int nExp) | ||
| public void exponential|MultiplePlot(int nExp) | ||
| public void exponentialMultiple(int nExp, double[] initialEstimates) | ||
| public void exponential|MultiplePlot(int nExp, double[] initialEstimates) | ||
| public void oneMinusExponential() | ||
| public void oneMinusExponentialPlot() |
Fit to a Sigmoid Function Sigmoidal Threshold Function | public void sigmoidThreshold() |
| public void sigmoidThesholdPlot() |
Fit to a Sigmoid Function Hill/Sips Sigmoid | public void sigmoidHillSips() |
| public void sigmoidHillSipsPlot() |
Fit to a Sigmoid Function Five parameter logistic curve [5PL] | public void fiveParameterLogistic() |
| public void fiveParameterLogisticPlot() | ||
| public void fiveParameterLogistic(double bottom, double top) | ||
| public void fiveParameterLogisticPlot(double bottom, double top) |
Fit to a Sigmoid Function Four parameter logistic curve [4PL, EC50 dose response curve] | public void fourParameterLogistic() |
| public void ec50() | ||
| public void fourParameterLogisticConstrained() | ||
| public void ec50constrained() | ||
| public void fourParameterLogisticPlot() | ||
| public void ec50Plot() | ||
| public void fourParameterLogisticConstrainedPlot() | ||
| public void ec50constrainedPlot() | ||
| public void fourParameterLogistic(double bottom, double top) | ||
| public void ec50(double bottom, double top) | ||
| public void fourParameterLogisticPlot(double bottom, double top) | ||
| public void ec50Plot(double bottom, double top) | Fit to a Rectangular Hyperbola | public void rectangularHyperbola() |
| public void rectangularHyperbolaPlot() | public void shiftedRectangularHyperbola() | |
| public void shiftedRectangularHyperbolaPlot() |
Fit to a Scaled Heaviside Step Function | public void stepFunction() |
| public void stepFunctionPlot() | ||
|
Common instance methods
(see below for common static methods) | Input data option | public void setErrorsAsScaled(); |
| public void setErrorsAsSD(); | ||
| public void setTrueFreq(boolean trueOrfalse) | ||
| public boolean getTrueFreq() |
Add a title to graphs and output files | public void setTitle(String title) |
| Print the regression results | public void print( String filename, int prec) | |
| public void print( String filename) | ||
| public void print(int prec) | ||
| public void print() | ||
|
Suppress the printing of the regression results | public void suppressPrint() | |
|
Plot the regression results x against y | public int plotXY( String graphName) | |
| public int plotXY() | ||
| public int plotXY(RegressionFunction rf, String graphName) | ||
| public int plotXY(RegressionFunction2 rf, String graphName) | ||
| public int plotXY(RegressionFunction3 rf, String graphName) | ||
| public int plotXY(RegressionFunction rf) | ||
| public int plotXY(RegressionFunction2 rf) | ||
| public int plotXY(RegressionFunction3 rf) | ||
|
Plot the regression results y(exp) against y(calc) | public int plotYY(String filename) | |
| public int plotYY() | ||
|
Suppress the plot of the regression results y(exp) against y(calc) | public void suppressYYplot() | |
| Add axis legends to the x - y plot | public void setXlegend(String xLegend) | |
| public void setYlegend(String yLegend) | ||
| Return the best estimates | public double[] getBestEstimates() | |
| Return the errors of the best estimates | public double[] getBestEstimatesErrors() | |
| Return the coefficients of variation | public double[] getCoeffVar() | |
| Return the t-values of the best estimates | public double[] getTvalues() | |
| Return the P-values of the best estimates | public double[] getPvalues() | |
| Return the calculated y values | public double[] getYcalc() | |
| Return the weights | public double[] getWeights() | |
| Return the unweighted residuals | public double[] getResiduals() | |
| Return the weighted residuals | public double[] getWeightedResiduals() | |
| Return the unweighted sum of residual squares |
public double getSumOfSquares() public double getSumOfUnweightedResidualSquares() | |
| Return the weighted sum of residual squares |
public double getChiSquare() public double getSumOfWeightedResidualSquares() | |
| Return the reduced chi square | public double getReducedChiSquare() | |
| Return the total sum of weighted squares | public double getTotalSumOfWeightedSquares() | |
| Return the regression sum of weighted squares | public double getRegressionSumOfWeightedSquares() | |
| Return the linear correlation coefficient |
public double getXYcorrCoeff() public double getYYcorrCoeff() | |
| Return the coefficient of determination |
public double getCoefficientOfDetermination() | |
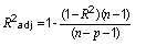
| Return the adjusted coefficient of determination |
public double getAdustedCoefficientOfDetermination() | |
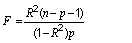
| Return the coefficient of determination F-ratio |
public double getCoeffDeterminationFratio() | |
| Return the coefficient of determination F-ratio probability |
public double getCoeffDeterminationFratioProb() | |
| Return the degrees of freedom | public int getDegFree() | |
| Covariance Matrix | public double[ ][ ] getCovMatrix() | |
| Parameter correlation coefficients | public doublet[ ][ ] getCorrCoeffMatrix() | |
| Return the Durbin-Watson d Statistic | public double getDurbinWatsonD() | |
| Check normality of residuals | public void checkResidualNormality() | |
| public void checkWeightedResidualNormality() | ||
| Common static methods |
Test of additional terms (Extra sum of squares) | public static ArrayList<Object> testOfAdditionalTerms(double chiSquare1, int nParameters1, double chiSquare2, int nParameters2, int nPoints, double significanceLevel) |
| public static ArrayList<Object> testOfAdditionalTerms(double chiSquare1, int nParameters1, double chiSquare2, int nParameters2, int nPoints) | ||
| public static ArrayList<Object> testOfAdditionalTerms_ArrayList(double chiSquare1, int nParameters1, double chiSquare2, int nParameters2, int nPoints, double significanceLevel) | ||
| public static ArrayList<Object> testOfAdditionalTerms_ArrayList(double chiSquare1, int nParameters1, double chiSquare2, int nParameters2, int nPoints) | ||
| public static double testOfAdditionalTermsFratio(double chiSquare1, int nParameters1, double chiSquare2, int nParameters2, int nPoints) | ||
| public static double testOfAdditionalTermsFprobability(double chiSquare1, int nParameters1, double chiSquare2, int nParameters2, int nPoints) | ||
|
Resetting the denominator in statistical formulae |
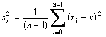
public static void setDenominatorToN() | |
|
public static void setDenominatorToNminusOne() | ||
|
Reset Stat class continued fraction evaluation parameters This evaluation is called by the Regression statistical analysis |
public static void resetCFmaxIter(int maxit) | |
|
public static int getCFmaxIter() | ||
|
public static void resetCFtolerance(double tolerance) | ||
|
public static double getCFtolerance() | ||








(if weights provided)
(if no weights provided)| RegressionDerivativeFunction | RegressionDerivativeFunction2 | |
| RegressionFunction | YES | NO |
| RegressionFunction2 | NO | YES |
| RegressionFunction3 | YES | YES |




| RegressionDerivativeFunction | RegressionDerivativeFunction2 | |
| RegressionFunction | YES | NO |
| RegressionFunction2 | NO | YES |
| RegressionFunction3 | YES | YES |




































































| Stat.betaFunction | is called by | class BetaFunction |
| Stat.betaPDF | is called by | fitBeta |
| Stat.chiSquareProb | is called by | getReducedChiSquare linearPrint nonLinearPrint noParameters |
| Stat.corrCoeff | is called by | generalLinearStats linearPrint nonLinearPrint noParameters |
| Stat.factorial | is called by | class PoissonFunction |
| Stat.fTestProb | is called by | linearPrint nonLinearPrint testOfAdditionalTerms_ArrayList |
| Stat.gammaFunction | is called by | class GammaFunction |
| Stat.gammaPDF | is called by | fitGamma fitErlang |
| Stat.getCFmaxIter | is called by | getCFmaxIter |
| Stat.getCFtolerance | is called by | getCFtolerance |
| Stat.linearCorrCoeffProb | is called by | linearPrint nonLinearPrint noParameters |
| Stat.logFactorial | is called by | fitPoisson |
| Stat.mean | is called by | fitSigmoidThreshold fitsigmoidHillSips fitEC50 fitlogEC50 fitRectangularHyperbola fitStepFunction |
| Stat.resetCFmaxIter | is called by | resetCFmaxIter |
| Stat.resetCFtolerance | is called by | resetCFtolerance |
| Stat.setStaticDenominatorToN | is called by | setDenominatorToN |
| Stat.setStaticDenominatorToNminusOne | is called by | setDenominatorToNminusOne |
| Stat.studentTcdf | is called by | generalLinearStats pseudoLinearStats |